##数据结构
一般来说,对于问题,解决步骤有
- 解决一个跟数据相关的问题
- 分析这个问题,想出对应的数据结构
- 分析数据结构,想出算法
而对于算法的思想,则有如下的分类
- 分治法
- 动态规划法
- 贪婪算法
- 线性规划法
- 简并法
而我们的大前端则主要使用分治法
哈希
算法中经常会用到哈希,那么什么是哈希(hash)呢?
a <- { |
像以上代码中拥有类似 key-value 的结构形式的就是所谓哈希(hash)
队列
特点就是先进先出,可以用数组实现
var q = [] |
栈
特点就是先进后出,也可以用数组实现
var stack = [] |
链表
数组无法直接删除中间的某一项,如用 hash (JS 中用对象表示 hash)实现链表
var a = { |
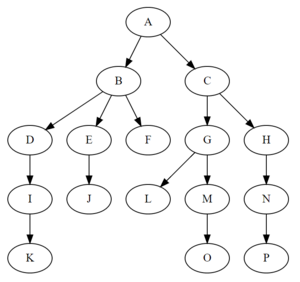
树
树的层级结构图如下所示

所以树是什么呢,树就是由 n 个节点组成的一个具有层次关系的集合(这里 n > 0),我们之所以叫树是因为它看起来像树,一个倒着的树。由图中可以看出,一颗树有如下的特点
- 每个爸爸节点有 0 个或多个儿子节点
- 根节点是没有爸爸节点的,如图中 A
- 每一个不是根节点的节点不可能有多个爸爸节点
- 除了根节点,每个儿子节点可以分为多个不相交的子树
这里还有几个比较重要的概念:层数、深度、节点个数
- 层数
就是根节点为第一层,根节点的儿子节点为第二层,根节点的儿子的儿子节点为第三层… - 深度
对于任意的节点 X,X 的深度为根节点到 X 的唯一路径长,比如设 A 到 B 的路径是 1, B 到 D 的路径是 2 的话,那么 A 到 D 的深度就是 3 - 节点个数
就是一颗树有多少个节点,如上图所示的,一共有 16 个节点
二叉树
树中很重要的一个概念就是二叉树,二叉树是什么?就是每个节点最多有两个儿子节点的树,如下图就是一颗二叉树

满二叉树
什么是满二叉树?假设一颗树的深度为 n,且一共有 $2^{n+1} - 1$ 个节点的树就叫做满二叉树,如下图所示

满二叉树的特点就是每一层上的节点数都是最大节点数,看起来很满就是它了
完全二叉树
什么是完全二叉树?假设一颗树的深度为 n,至少有 $2^k$ 个节点,至多有 $2^{k+1} - 1$ 个节点的树就叫做完全二叉树。那么问题来了,完全二叉树如何与其他的树做区分呢?可以参考下图

其实有个小技巧,即
- 先对一个满二叉树进行广度优先遍历,按照这个顺序进行编号
- 对要测试的树也进行广度有限遍历并按照顺序编号,然后与这颗满二叉树一一比对,若所有编号所在位置能和满二叉树对应,那么这个就是完全二叉树(如上图中的 c、d 就不是完全二叉树)
完全二叉树和满二叉树可以用数组实现,方法如下
// 假如有这样的数组,存储树数据如下所示 |
如上所示就通过一个公式就可以取数,但是用数组来存储树有个缺点,就是可能浪费数组空间,若这个树不是满二叉树或者是完全二叉树,比如如下
a = [1, 2,3, 4,5,undefined,undefined, undefined,undefined,6,7] // 上图中 (c) |
可以观察到在数组中虽然申请了空间,但是没有用到
其他树可以用 hash (对象)来实现
B 树
// todo
红黑树
// todo
AVL 树
// todo